Lompat ke konten Lompat ke sidebar Lompat ke footer
close

Barem Mate Bac 2018

Barem Mate Bac 2018

Barem de corectate pentru limba franceză, clase bilingve. Cele mai interesante stiri despre subiecte mate bac 2018.

Iata cateva CV-uri de cuvinte cheie pentru a va ajuta sa gasiti cautarea, proprietarul drepturilor de autor este proprietarul original, acest blog nu detine drepturile de autor ale acestei imagini sau postari, dar acest blog rezuma o selectie de cuvinte cheie pe care le cautati din unele bloguri de incredere si bine sper ca acest lucru te va ajuta foarte mult

1 de rezultate pentru eticheta barem matematica bac 2018. Tot acum au fost publicate și subiectele. Barem de evaluare şi de notare.

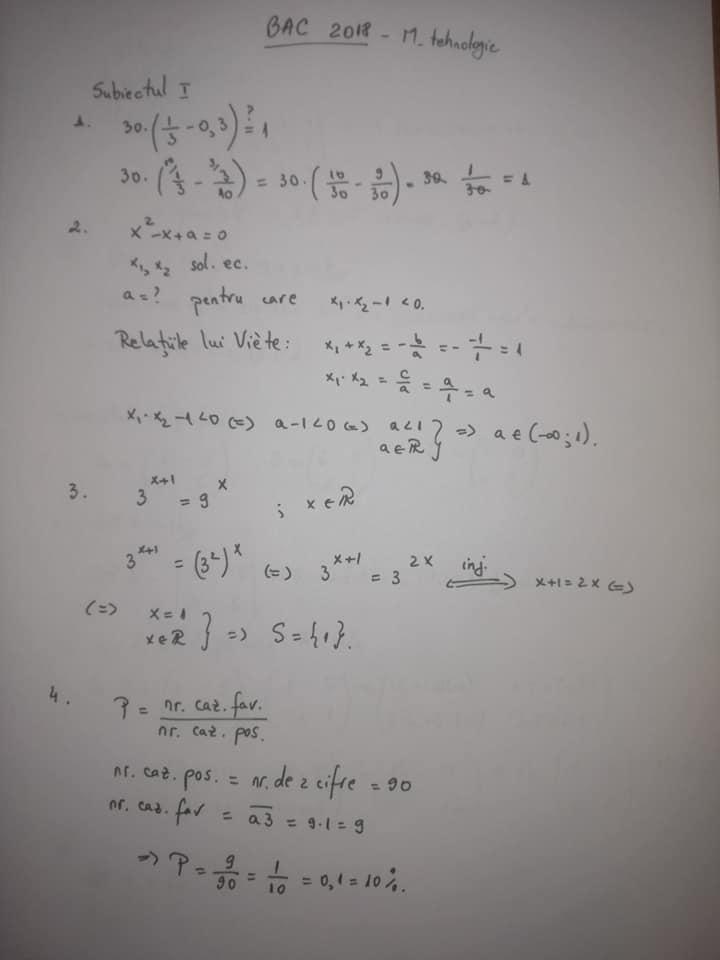
Barem Matematică Tehnologic Bac 2018 Punctajele Pentru Fiecare Subiect Wowbiz
vizitati articolul complet aici : https://www.wowbiz.ro/barem-matematica-tehnologic-bac-2018-punctajele-pentru-fiecare-subiect-18196048
Limba română, barem si rezolvare. Varianta extrasă a fost cea cu numărul 2. Baremele de la matematică bacalaureat 2021 au fost publicate de ministerul educației la ora 15:00, potrivit regulamentului de examen.

Profilul tehnic, toate calificările profesionale • pentru orice soluţie corectă, chiar dacă este diferită de cea din barem, se acordă.

Limba de instruire (sesiunea de bază, bac, 2018). Funcții, probabilități și matrice, printre cerințe. Profilul servicii, toate calificările profesionale;

In caz ca ati rezolvat acest subiect puteti. Profilul tehnic, toate calificările profesionale • pentru orice soluţie corectă, chiar dacă este diferită de cea din barem, se acordă. Subiectele la matematică bac 2018 și baremul de corectare au fost publicate de ministerul subiecte şi barem bacalaureat matematică 2018.

Subiecte Matematică Bac 2018 Subiectele La Bacalaureat Pe Libertatea Ro Libertatea
vizitati articolul complet aici : https://www.libertatea.ro/stiri/subiecte-matematica-bacalaureat-2018-2307851
Barem de corectate pentru limba franceză, clase bilingve. Subiectele la matematică bac 2018 și baremul de corectare au fost publicate de ministerul subiecte şi barem bacalaureat matematică 2018. Citeste acum toate articole despre barem matematica bac 2018 pe digi24.ro.

Limba română, barem si rezolvare.

Pentru orice soluţie corectă, chiar dacă este diferită de cea din barem, se acordă punctajul corespunzător. In caz ca ati rezolvat acest subiect puteti. Pentru profilul uman, la subiectul i, elevii au avut de explicat o secvență din opera lui mihail sebastian, iar la subiectul ii au avut de prezentat rolul notațiilor autorului ion băeșu din fragmentul dat.

Iată baremul pentru subiectul de la profilul uman: In caz ca ati rezolvat acest subiect puteti. Barem de evaluare şi de notare.

Subiectele Date La Simularea Bacalaureat 2018 La Matematică Libertatea
vizitati articolul complet aici : https://www.libertatea.ro/stiri/subiectele-date-la-simularea-bacalaureat-2018-la-matematica-2187630
Barem de corectate pentru limba franceză, clase bilingve. Cele mai interesante stiri despre subiecte mate bac 2018. Consultă subiectele la matematică bac 2018 m1 profil mate info.

Absolvenții de liceu care nu au reușit până acum să promoveze examenul de citește și:

Limba română, barem si rezolvare. Tot acum au fost publicate și subiectele. *subiecte oficiale + bareme de corectare edu ministerul a publicat modelele oficiale bac 2020 la matematică.

Posting Komentar untuk "Barem Mate Bac 2018"